
はじめに
統計解析を行う上で、正規分布は切っても切り離せない重要なデータの性質です。
なぜなら、Cpk、T検定、管理図、回帰分析など、多くの統計手法が「データが正規分布に近いこと」を前提としているためです。特に製造業や品質管理の現場では、データが正規分布に従っているかどうかで、工程能力指数の信頼性や異常判定の精度が大きく変わります。
データが正規分布かどうかを確認する代表的な方法としては、ヒストグラム、Q-Qプロット、正規性検定、そして歪度・尖度の確認があります。
この記事では、この中でも「歪度」「尖度」という統計指標について詳しく解説します。
この記事を読むことで、歪度・尖度の意味、数式、正規分布の判定基準、Excelでの求め方まで理解できるようになります。
歪度とは?
歪度とは、分布の左右の歪み具合、つまり非対称性を表す指標です。
漢字の通り「ゆがみ度」を意味しており、分布が左右どちらに偏っているかを確認できます。
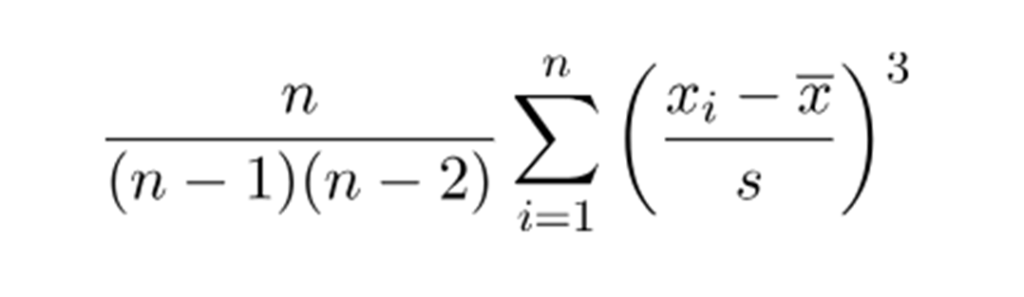
歪度は以下の式で表されます。

ここで、各変数は以下を示します。
・Xi:各データ
・X–:平均値
・s:標準偏差
・n:データ数
歪度の値を見ることで、分布の偏り方を判断できます。
| 歪度 | 分布の特徴 |
|---|---|
| 0 | 左右対称な分布 |
| 正 | 左側にデータが多く、右側に長い裾を持つ分布 |
| 負 | 右側にデータが多く、左側に長い裾を持つ分布 |
例えば、寿命データや故障時間データは右側に長い裾を持つことが多く、歪度が正になる傾向があります。
尖度とは?
尖度とは、分布のとがり具合を表す指標です。
データが平均値付近に集中しているのか、それとも平坦に広がっているのかを確認できます。
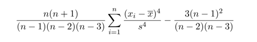
尖度は以下の式で表されます。

Excelや統計ソフトで使われる尖度は「超過尖度」と呼ばれるもので、正規分布の尖度が0になるように定義されています。
尖度の値を見ることで、分布のとがり方を判断できます。
| 尖度 | 分布の特徴 |
|---|---|
| 0 | 正規分布に近い |
| 正 | 平均付近にデータが集中し、尖った分布 |
| 負 | データが広く分散し、平坦な分布 |
尖度が大きい場合は、中心にデータが集中している一方で外れ値が含まれているケースもあるため注意が必要です。
歪度・尖度でどう正規分布を確認する?

正規分布は、左右対称の釣り鐘型をしているという特徴があります。
この特徴を歪度・尖度で考えると、歪度は0に近く、尖度も0に近い状態であれば、正規分布に近いと判断できます。
つまり、
・歪度:分布に左右の偏りがない
・尖度:尖りすぎても平坦すぎてもいない
という状態が確認できれば、正規分布を仮定しやすくなります。
正規分布の判定基準
一般的には、以下の範囲であれば正規分布に近いと判断されます。
| 指標 | 正規分布の判定目安 |
|---|---|
| 歪度 | -1.0 ~ +1.0 |
| 尖度 | -1.0 ~ +1.0 |
完全な正規分布であれば、歪度も尖度も0になります。
工程能力指数Cpkや回帰分析など、正規分布の仮定が重要な場面では、±1.0以内を目安にすることが多いです。
一方、T検定や分散分析などの仮説検定では、サンプル数が十分に多い場合、多少の歪みがあっても解析結果への影響が小さいことがあります。そのため、歪度・尖度ともに±1.5程度まで許容されることもあります。
ただし、データ数が少ない場合や外れ値が多い場合は、歪度・尖度だけで判断せず、ヒストグラムやQ-Qプロットもあわせて確認することが重要です。
歪度・尖度の事例
ここでは、歪度・尖度の値によって分布形状がどのように変わるかを見ていきます。
正規分布に近い例(歪度 = 0.15 / 尖度 = -0.36)
歪度も尖度も0に近いため、左右対称で釣り鐘型に近い分布です。

このようなデータであれば、CpkやT検定などの統計手法を安心して適用しやすい状態といえます。
右に偏った分布(歪度 = -0.96 / 尖度 = 0.25)
歪度が負の値で大きいため、データが右側に集中し左側に長い裾を持つ分布になっています。

このような分布は、寿命データや時間データでよく見られます。尖度は0に近いため、分布の尖り方は大きく変化していません。
左に偏った分布(歪度 = 2.04 / 尖度 = 5.53)
歪度が正で大きいため、データが左側に集中し右側に長い裾を持つ分布です。

また、尖度が正になっているため、データ一部の区間に集中し鋭くとがった分布になっています。
このようなデータでは、正規分布を前提とする統計解析をそのまま適用すると誤判定につながる場合があります。
Excelでの実施方法
歪度と尖度は、Excel関数を使って簡単に求めることができます。
歪度は以下の関数を使用します。
値が0に近いほど左右対称、正の値なら右に長い分布、負の値なら左に長い分布を示します。
尖度は以下の関数を使用します。
値が0に近いほど正規分布に近く、正の値なら尖った分布、負の値なら平坦な分布を示します。
例えば、測定データがA列に入力されている場合、SKEW関数で歪度、KURT関数で尖度を求めることで、データの正規性を簡単に確認できます。
Excelでヒストグラムもあわせて作成すると、数値だけでは見えない偏りや外れ値も確認できるためおすすめです。
注意事項
歪度・尖度は、正規分布を確認する上で便利な指標ですが、これだけで完全に正規性を判断できるわけではありません。
例えば、外れ値が1点だけ存在する場合でも、歪度や尖度が大きく変わることがあります。
また、二峰性分布のようにピークが2つあるデータでは、歪度や尖度が0付近でも正規分布ではない場合があります。

そのため、実務ではヒストグラム、Q-Qプロット、正規性検定と組み合わせて確認することが重要です。
特に製造業のデータでは、異常値や設備切り替えによる混合分布が発生しやすいため、数値だけでなくグラフもあわせて確認するようにしましょう。
データの可視化の超基本!ヒストグラムの作成方法および解釈について解説!
まとめ
歪度は分布の左右の偏り、尖度は分布のとがり具合を表す指標です。
正規分布に近いデータであれば、歪度・尖度ともに0付近になります。
一般的には、歪度・尖度が±1.0以内であれば正規分布に近いと判断されることが多く、T検定などでは±1.5程度まで許容される場合もあります。
ただし、歪度・尖度だけで正規分布を判断するのではなく、ヒストグラムやQ-Qプロットも組み合わせて確認することが重要です。
まずはExcelのSKEW関数、KURT関数を使って、自分のデータがどの程度正規分布に近いかを確認してみましょう。
品質管理の超基本_工程能力指数Cpkの意味合い、計算方法まで詳しく解説!
Excel分析ツールを用いたT検定の手順・結果の解釈をわかりやすく解説!
統計解析をするうえで必ず理解しておきたい、正規分布について数理・特徴を網羅!
また、Excel分析・統計解析のご相談をココナラで受け付けています。
「このデータどう見ればいい?」
「Cpkや管理図を実務で使いたい」
といった内容も対応可能です。
・製造業・品質管理の実務目線でサポート
・分析代行/解釈のアドバイスどちらもOK
・見積もり・相談は無料です
ご興味のある方は、記事サイドバーのリンクからお気軽にご相談ください。